本文發布初衷為追蹤新研究進展并分享給更多的研究者參考,如若侵犯到原作者或者其他單位任何相關利益,請告知刪除!發布過程存在不準確或表述不清,以及任何疏漏,歡迎大家后臺/郵件(2930832789@qq.com)留言指正或者刪除。謝謝!
題目: Elevated moisture stimulates carbon loss from mineral soils by releasing protected organic matter
期刊:Nature Communications
發表時間:2017年11月
第一作者:Huang Wenjuan
通訊作者及聯系方式: stevenjh@iastate.edu
影響因子:2020年IF=14.919;5年IF=15.805
文獻解讀
土壤微生物對有機碳的分解利用促進了土壤碳的釋放,進而影響全球碳循環。微生物活性主要受到土壤水分含量的影響,合適的水分、氧氣含量以及通過土壤水分擴散的碳底物使得有機碳的分解加快。因此在土壤水分條件適中時,短期異養呼吸導致的CO2釋放量升高。然而,土壤水分含量達到飽和狀態時,氧氣有效性降低對土壤異養呼吸的影響關注不足。因此,闡明異養微生物活性對土壤水分含量增加的響應機制仍然是預測碳循環對氣候變化反饋的關鍵。
土壤活性礦物,特別是活性鐵氧化物可以保護有機碳不受微生物的分解,進而起到穩定固存有機碳的作用。易被微生物分解利用的親水性和羧基碳化合物可以通過吸附和共沉淀方式被土壤鐵氧化物穩定固存,土壤表層礦物結合態碳庫可以在十年到千年尺度上周轉。然而對礦物結合態碳釋放并被微生物分解利用的生物地球化學過程關注較少,特別是鐵氧化物對土壤有機碳的保護易受土壤水分含量變化引起的氧化還原動力學的影響。值得注意的是,好氧條件下與鐵氧化物結合態碳約占有機碳的40%,這部分碳在鐵還原溶解后極易被釋放和分解。
厭氧條件下鐵氧化物的還原溶解會增加土壤中溶解態和膠體態有機碳的含量,此碳組分的微生物有效性較高。同時,厭氧條件下控制土壤有機質分解的水解酶含量降低,而且酚類物質的增加也會抑制水解酶的活性,因此,與好氧條件相比,厭氧條件下有機碳的微生物分解降低。但當有可水解碳或單體碳存在時,短暫的厭氧條件并不一定能抑制異養微生物活性。鐵還原引起的溶解態和膠體態有機碳的釋放在介導異養呼吸對土壤水分升高的響應機制尚不清楚,無法定量鐵還原所導致的有機碳損失能在多大程度上抵消厭氧條件引起的有機碳含量增加。因此,文章假設短時間尺度上(小時/天),土壤水分含量提高抑制土壤呼吸引起的土壤有機碳含量增加會被與鐵氧化物結合的有機碳的釋放和礦化抵消。
研究選取長期進行玉米(C4)與大豆(C3)輪作土壤進行培養實驗,玉米(C4)與大豆(C3)輪作可以為實驗提供了自然穩定同位素(δ13C)標記。同時考慮到地形特點,選擇坡頂(ridge),坡面(footslope)及坡底(depression)進行采樣。研究區域即使有人工排水系統,但土壤含水量和水位也經常出現較大的季節性波動,因此培養實驗設置三種水分環境(田間持水量的51%、77%、99%)。通過152天的恒溫培養實驗來研究土壤水分含量變化對土壤CO2和CH4產生及其δ13C值的影響。
研究結果
(1)土壤水分含量對有機碳礦化(CO2和CH4)的影響隨時間的變化顯著,與低水分條件(51%WFPS,作為對照)相比,在中等(77%WFPS)和飽和(99%WFPS)水分條件下,土壤水分含量對有機碳礦化的影響都是先抑制后增強(圖1)。(2)培養的前25天,飽和水分條件下所有土壤累積CO2釋放量都顯著低于中等和低水分條件(圖2b);
(3)培養實驗的25-82天,土壤飽和及中等水分條件CO2的產生顯著高于對照處理。3種水分條件中,坡頂與坡面土壤前82天的累積CO2排放量相近,坡底土壤在中等以及飽和水分條件下的累積CO2排放顯著高于對照處理(圖1b);
(4)將培養過程中產生的CH4考慮在內時,土壤水分含量增加對有機碳礦化的促進作用增強(圖1c)。中等和飽和水分條件下的CH4產生量占有機碳總礦化量的38%和30%,低水分條件下CH4對總有機碳礦化的貢獻可以忽略(<0.2%)。培養結束時,中等和飽和水分條件下土壤碳(CO2+CH4)的累積礦化量顯著高于對照(圖1d)。
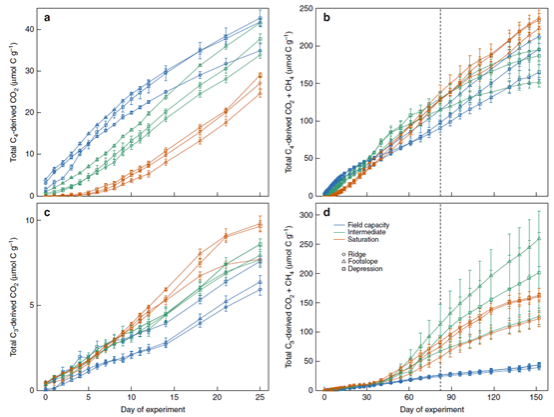
(5)在前25d,與中等和低水分條件相比,飽和水分條件顯著抑制了C4衍生碳的累積礦化。82天培養后,中等和飽和水分條件下土壤C4衍生碳的累積礦化顯著高于對照(圖3);
(6)相對于C4衍生碳, C3衍生碳的礦化在培養實驗過程中受土壤水分含量的影響更大。隨著培養時間延長,中等和飽和水分條件下C3衍生碳對有機碳礦化的貢獻逐漸增加,從25天的20%增加至82天的38%和153天的44%。培養實驗結束時,中等和飽和排水條件下的C3衍生碳累積礦化率比對照分別提高了356%和246%(圖3);
(7)飽和水分條件下土壤Eh在培養10天后由512mV降至-101mV,二價鐵含量由0.2μmolg?1,增加至29.6μmolg?1。
結論
土壤碳礦化與土壤水分含量之間的傳統理論認為,短期(小時/天)厭氧條件下,由于能量和酶對微生物活性的限制,高土壤水分含量限制了土壤碳礦化。這一關系符合生態系統模型中異養呼吸的典型水分響應函數(圖2),然而,在更長的時間尺度上,該模型可能低估了當土壤經歷持續的高水分時期的碳礦化。通過水分與土壤呼吸響應函數計算發現,在土壤經歷長期淹水時,該函數低估了土壤累積碳礦化(>50%),這是由于受礦物保護的有機碳在土壤水分含量升高條件下被釋放和礦化(圖2)。當土壤中鐵氧化物發生還原溶解時,它會促進微生物接觸之前受保護的不穩定碳,從而加速礦質土壤中碳的流失。
主要圖表

Fig. 1 Carbonmineralization from three Mollisols incubated under moisture levels at andabove field capacity. a CO2 production rate; b cumulative CO2production; c total C mineralization rate (CO2+CH4); dcumulative total C mineralization (CO2+CH4). The verticaldashed line indicates when gradual drainage was initiated in the saturatedsoils. The error bars indicate s.e.m. (n = 4)

Fig. 2 Relationships between soil moisture and cumulative C mineralization.Values of soil C mineralization from our study were normalized by the values at field capacity measured at 25, 82, and 152 days, respectively.Soil moisture for the saturated/drained period at 152 days is the mean value overthis experiment. The dashed line is the best-fit relationship from Moyano etal.5: SRH = 3.11θS?2.42θS2,in which SRH is soil C mineralization and θS is relativewater saturation. Each point is the averaged value across the three Mollisols.The error bars indicate s.e.m. (n = 12)

Fig. 3 Cumulative mineralization of different C sources in threeMollisols incubated under moisture levels at and above field capacity. a, c Short-termcumulative mineralization of C4-derived C (a) and C3-derivedC (c) respired as CO2; b, d long-term cumulativemineralization of C4-derived C (b) and C3-derivedC (d) respired as CO2 and CH4. The vertical dashedline indicates when gradual drainage was initiated in the saturated soils. Theerror bars indicates.e.m. (n=4)

Fig. 4 Temporal chemical variations in footslope soils incubatedunder field capacity and saturation. a Redox potential (Eh) and ferrous iron(Fe(II)); b dissolved organic carbon (DOC) from C4 and C3sources. The error bars indicate s.e.m. (n=4, except for Eh where n=5)